
In the rising sea of pro-sale, pro-FPL, campaign propaganda, there is still a lifeboat of truth
COMMENTARY
“When the dust settles and the Charlie Wilsons of the world have found some other bone to sink their teeth into, Vero Electric’s rates will likely still not be as low as FPL’s. But in the world of real possibilities, a place where Wilson, fellow utility activist Steven Faherty, and city council candidates Harry Howle and Laura Moss, choose not to dwell, responsible leaders must do the best they can with the options available to them.”
MARK SCHUMANN
Florida Power & Light’s foot soldiers marched themselves before a joint meeting to Vero Beach’s Utilities and Finance Commissions yesterday to denounce revisions to the City’s wholesale power agreement with the Orlando Utilities Commission. No doubt, those same voices will be heard this morning at the City Council meeting, where at least four members of the Council are expected to approve revisions to the City’s contract with the Orlando Utilities Commission.
Vero Electric receives two-thirds of its power from the OUC under a 20-year agreement that went into effect in 2011. That deal, negotiated in 2008 and 2009, has left the City, and ultimately its electric customers, paying the OUC rates well above today’s market prices.
In the absence of any plausible means of moving forward with the proposed sale to FPL, Vero Beach officials have successfully re-negotiated the City’s contract with the OUC. The revised agreement reduces rates and shortens by seven years to length of the City’s commitment to the OUC.
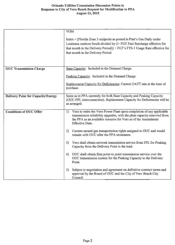
Yesterday, Vero Beach’s special utility counsel, Shef Wright, presented a detailed explanation of the anticipated impact of each of the changes to the Vero Beach-OUC wholesale power contract.
Though even FPL officials admit they have no new ideas to put forward for resolving Vero Beach’s contractual obligations to the Florida Municipal Power Agency, some of their local allies and operatives either have not received the word, or will not accept the fact that Vero Electric will for the foreseeable future remain a municipally owned utility.
Given that now undeniable fact, City leaders have focused their attention and energy on cutting their wholesale power costs and figuring out how to run their electric utility more efficiently. In addition to negotiating a “new deal” with the OUC, City leaders plan to decommission the riverfront power plant, a move that will save electric customers millions of dollars a year. The City is also now conducting a system optimization study to identify further opportunities to cut operating costs.
When the dust settles and the Charlie Wilsons of the world have found some other bone to sink their teeth into, Vero Electric’s rates will likely still not be as low as FPL’s. But in the world of real possibilities, a place where Wilson, Steven Faherty, and city council candidates Harry Howle and Laura Moss, choose not to dwell, responsible leaders must do the best they can with the options available to them.
Below are the pages of Wright’s presentation to the Utilites and Finance Commissions.















The heat rate for peaking power of 11,500btu/kwh seems to be quite high.