MARK SCHUMANN

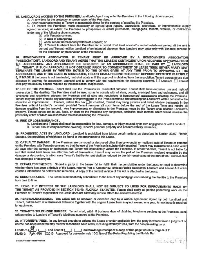
As documentation validating his claim to have established city residency before Sept. 20, 2013, city council candidate, Charlie Wilson, provided Vero Beach City Clerk Tammy Vock a copy of a rental agreement with no effective date. The document, a six-month lease to rent 2134A 18th Avenue through Feb. 28, 2014, was signed by Wilson and by his landlord, Paul Schwambeck, on August. 20, but the beginning date for the term of the lease was left blank.
The lease included a provision that Wilson pay six month’s rent of $3,000 in full prior to occupancy, a provision which he satisfied on Sept. 19, 2013, when he made the last of three cash payments totaling $3,000. On that same date, the utilities at 2134A 18th Avenue were transferred into Wilson’s name.
Still, Wilson claims to have taken occupancy of the apartment as of Aug. 20, thus establishing his city residency on or before Sept. 5, 2013, the date by which he most have been a city resident in order to quality to run for a seat on the city council in the coming election. In an Aug. 5 letter to Vock, Schwambeck confirmed Wilson’s claim, writing, “On August 20, 2013 Mr. Wilson took possession of the property and was provided with keys along with my agreement that he could begin moving in early if he wished.”
On the same date Schwambeck says he told Wilson he could move into the apartment early he received an initial rent payment from Wilson of $2,000. At the bottom of the receipt, Schwambeck wrote a note indicating the additional $1,000 was due “prior to occupancy.”

Last week, in response to a question from Inside Vero, Schwambeck said he could not remember when Wilson moved into the apartment, but that it was some time “well before Sept. 19.”
Vock explained yesterday she will base her determination on Wilson’s qualification on the documentation available to her during the qualifying period, which begins Aug 22 and ends Sept. 5. If Vock certifies Wilson has meet the residency requirement and his name is on the ballot in November, it will be his second run for a seat on the Vero Beach City Council. Wilson ran in 2009 and was elected, but was removed from office one month later by court order for failing to meet the residency requirement for city council candidates.
Below is the seven page rental agreement Wilson submitted to City Clerk Tammy Vock:









Under Florida law residency is established through a variety of documentation so Charlie Wilson should be able to confirm his residency with his voter registration card, drivers’ license or automobile registration. All of these legal records require that Charlie Wilson sign documentation acknowledging the criminal penalities associated with giving false information.